Subiecte Logica Bac 2018





Subiecte La Logică De La Bac 2018 Ce Probleme Au Avut De Rezolvat Elevii

Subiecte La Logică De La Bac 2018 Ce Probleme Au Avut De Rezolvat Elevii

Subiecte Si Barem Logică Bac 2018 Ce Au Avut De Rezolvat Elevii Wowbiz

Subiecte Si Barem Logică Bac 2018 Ce Au Avut De Rezolvat Elevii Wowbiz

Subiecte Logică 2018 Edu Ro Avem Baremul De Corectare La Examenul De Bacalaureat

Subiecte Logică 2018 Edu Ro Avem Baremul De Corectare La Examenul De Bacalaureat

Proba La Alegere Bac 2018 Subiecte și Barem Absolvenții Au Susținut Ultima Probă A Examenului Stirileprotv Ro

Proba La Alegere Bac 2018 Subiecte și Barem Absolvenții Au Susținut Ultima Probă A Examenului Stirileprotv Ro

Subiecte Logica Bac 2018 Regula Definirii Logice Ce Regulă Este Incălcată Barem Corectare

Subiecte Logica Bac 2018 Regula Definirii Logice Ce Regulă Este Incălcată Barem Corectare

Modele De Subiecte Rezolvate 2017 Logica

Modele De Subiecte Rezolvate 2017 Logica

Modele De Subiecte Rezolvate 2017 Logica

Bacalaureat 2019 Modele De Subiecte La Logică Sparknews Ro

Bacalaureat 2019 Modele De Subiecte La Logică Sparknews Ro

Subiecte Logica Bac 2018 Regula Definirii Logice Ce Regulă Este Incălcată Barem Corectare

Subiecte Logica Bac 2018 Regula Definirii Logice Ce Regulă Este Incălcată Barem Corectare

Bacalaureat 2019 Modele De Subiecte La Logică Sparknews Ro

Bacalaureat 2019 Modele De Subiecte La Logică Sparknews Ro

Subiecte și Barem Geografie Bac 2018 Subiectele și Baremul De Corectare La Bacalaureat 2018 Stirileprotv Ro

Subiecte și Barem Geografie Bac 2018 Subiectele și Baremul De Corectare La Bacalaureat 2018 Stirileprotv Ro

Subiecte Romană Bacalaureat 2018 Modele Barem Corectare Cursuri De Limba Engleza Si Germana Piata Iancului Blog Accesis

Subiecte Romană Bacalaureat 2018 Modele Barem Corectare Cursuri De Limba Engleza Si Germana Piata Iancului Blog Accesis

Subiecte Si Barem Geografie Bac 2018 Cat De Grele Au Fost Intrebările Wowbiz

Subiecte Si Barem Geografie Bac 2018 Cat De Grele Au Fost Intrebările Wowbiz

Bac 2018 Subiecte Si Barem La Geografie Ce Au Primit Absolvenţii De Clasa A Xii A La Examen

Bac 2018 Subiecte Si Barem La Geografie Ce Au Primit Absolvenţii De Clasa A Xii A La Examen

Bacalaureat 2019 Edu Ro Subiecte Bac 2019 Modele Subiecte Socio Umane

Bacalaureat 2019 Edu Ro Subiecte Bac 2019 Modele Subiecte Socio Umane

Subiecte și Barem Biologie Bac 2018 Subiectele și Baremul De Corectare La Bacalaureat 2018 Stirileprotv Ro

Subiecte și Barem Biologie Bac 2018 Subiectele și Baremul De Corectare La Bacalaureat 2018 Stirileprotv Ro

Cum Se Rezolvă Subiectele La Geografie Din Cadrul Sesiunii De Toamnă A Examenului De Bacalaureat 2018 Stiri Mondene

Cum Se Rezolvă Subiectele La Geografie Din Cadrul Sesiunii De Toamnă A Examenului De Bacalaureat 2018 Stiri Mondene

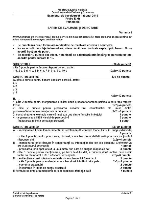
Subiecte Psihologie 2018 Edu Ro Avem Baremul De Corectare La Examenul De Bacalaureat

Subiecte Psihologie 2018 Edu Ro Avem Baremul De Corectare La Examenul De Bacalaureat

Subiecte Si Bareme Geografie Simulare Bac 2018 Potrivit Edu Ro Vezi Cum Arată Subiectele Pentru Elevi Romaniatv Net Mobi

Subiecte Si Bareme Geografie Simulare Bac 2018 Potrivit Edu Ro Vezi Cum Arată Subiectele Pentru Elevi Romaniatv Net Mobi

Subiecte Logica Bac 2018 Regula Definirii Logice Ce Regulă Este Incălcată Barem Corectare

Subiecte Logica Bac 2018 Regula Definirii Logice Ce Regulă Este Incălcată Barem Corectare

Bareme Edu Bac 2018 Limba Romana Proba E A 25 06 2018 Vezi Subiectele Date Jitaruionelblog Pregatire Bac Si Evaluarea Nationala 2020 La Matematica Si Alte Materii Materiale Lectii Formule Exercitii Rezolvate Matematica Gimnaziu

Bareme Edu Bac 2018 Limba Romana Proba E A 25 06 2018 Vezi Subiectele Date Jitaruionelblog Pregatire Bac Si Evaluarea Nationala 2020 La Matematica Si Alte Materii Materiale Lectii Formule Exercitii Rezolvate Matematica Gimnaziu

Source : pinterest.com